A brief sketch of the implementation of the stabilization parameters, either tau matrices and discontinuity capturing operators, will be given here, going in depth of the numerical code.
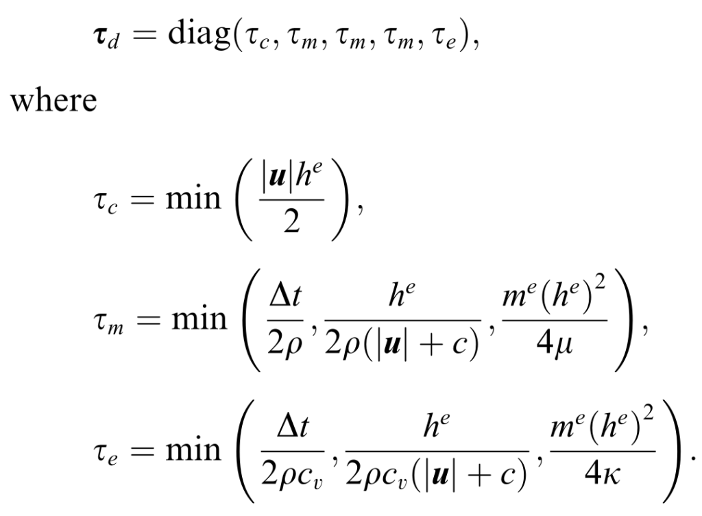
The expression for the compressible diagonal tau is (Hauke, 2001):

The piece of the code that implements it is:

Further, the expression for the non-diagonal version is (Hauke, 2001):


So that the implementation of the non-diagonal tau is:

The non-diagonal tau of 2019 is implemented as:

The algorithmic formulation of this version of tau (Bazilev et al., 2007) is:


The 2007 diagonal incompressible tau is implemented as follow:

The 2014 tau by Trelles, J. P., & Modirkhazeni, S. M. (2014) reads:



The coding for the 2014 tau version is:

The non-diagonal tau developed by Polner (2005) reads:


The corresponding implementation is:

The 1998 version of discontinuity capturing, one of the most rubost, is:

The piece of code implementing it is:

The 2006 version of the discontinuity capturing by Tezduyar & Senga (2006) reads:




The relative implementation follows:


The Galerking Least Square formulation for heat conduction is formulated as:

The corresponding implementation is:

Proudly powered by WordPress